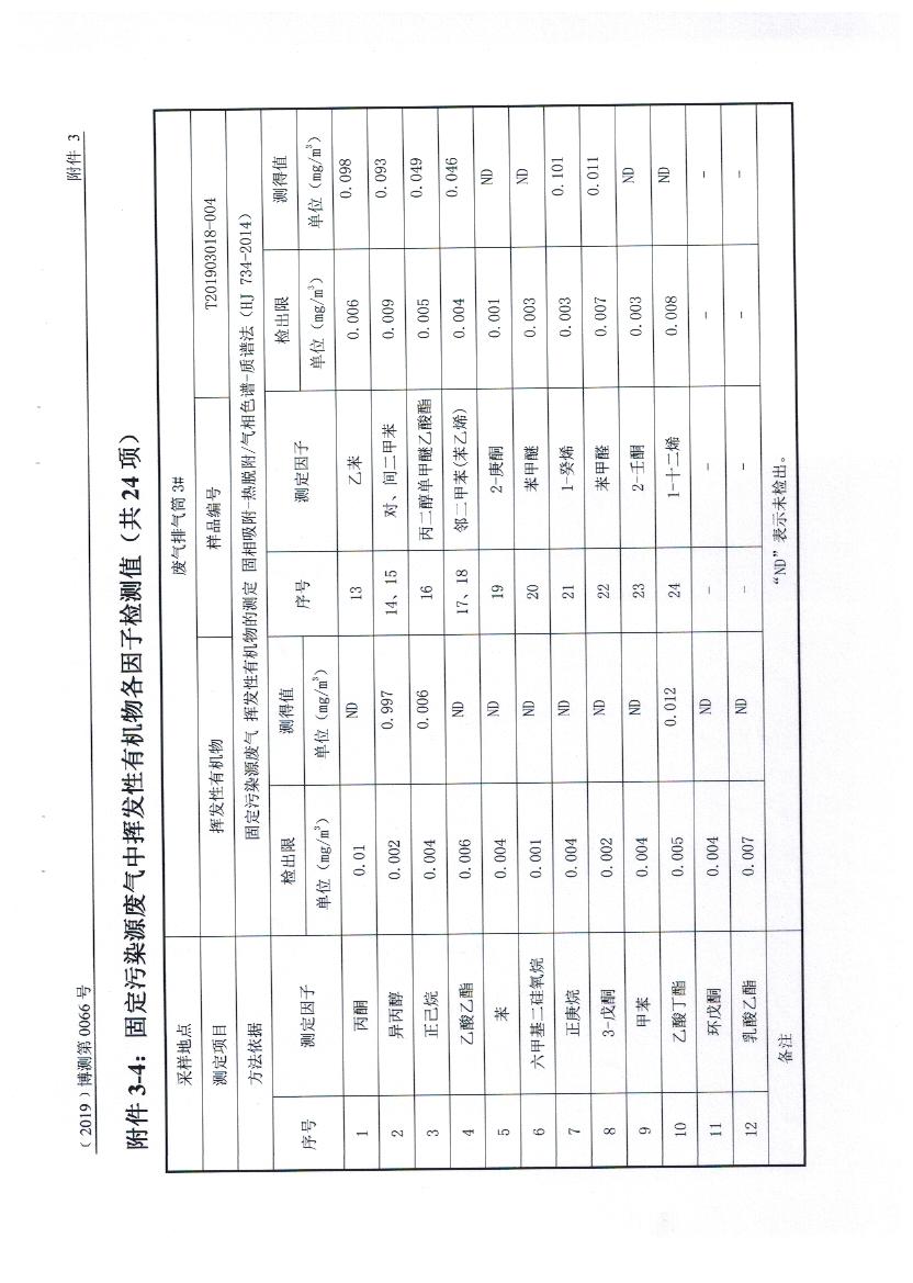
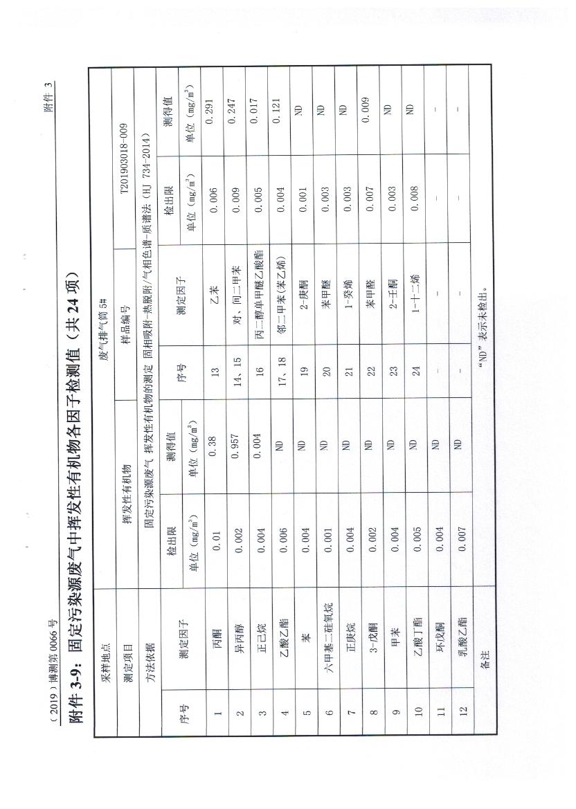
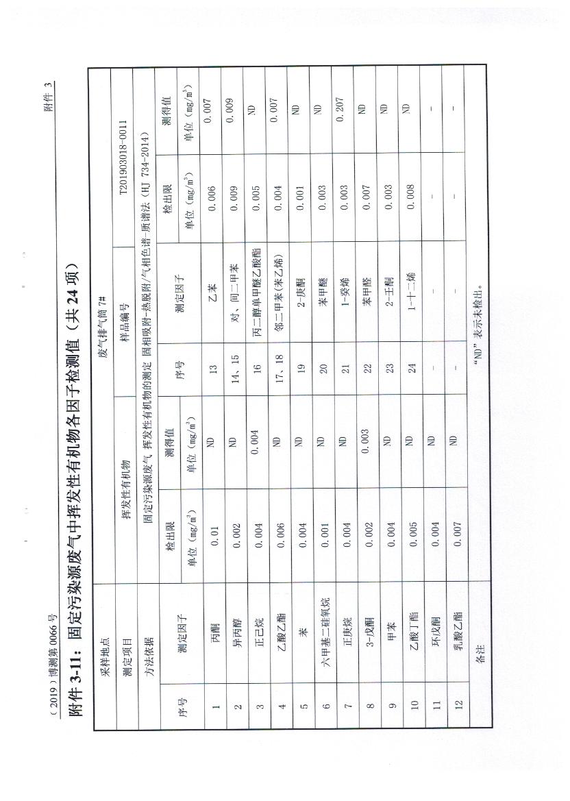
2019.3.15監(jiān)測報告
2019/3/15 9:06:07 點擊:




















- 上一篇:2019.4.28監(jiān)測報告 2019/4/28
- 下一篇:江蘇新時代造船有限公司自行監(jiān)測方案 2019/1/17
黨委辦電話:0523-80686218/80686219
行政辦電話:0523-84259951
營銷部電話:0523-84216239/84215129
營銷部郵箱:business@ncship.com.cn
人力資源部電話:0523-80686315
物資部電話:0523-80686275
地址:江蘇靖江丹華港港口



















